ИССЛЕДОВАНИЕ КАЧЕСТВЕННЫХ И СТРУКТУРНО-РЕОЛОГИЧЕСКИХ ХАРАКТЕРИСТИК МАКАРОННЫХ ИЗДЕЛИЙ С ДОБАВЛЕНИЕМ ФРАКЦИЙ МОРЕПРОДУКТОВ
ИССЛЕДОВАНИЕ КАЧЕСТВЕННЫХ И СТРУКТУРНО-РЕОЛОГИЧЕСКИХ ХАРАКТЕРИСТИК МАКАРОННЫХ ИЗДЕЛИЙ С ДОБАВЛЕНИЕМ ФРАКЦИЙ МОРЕПРОДУКТОВ
Аннотация
Разработка новых рецептур макаронных изделий с использованием недоиспользуемых компонентов, таких как гидролизат кожи кальмара и порошок антенн креветки способствует реализации принципов рационального использования биологических ресурсов, закрепленных в современных государственных программах и стратегиях обеспечения продовольственной безопасности Российской Федерации.
В статье представлены результаты исследований влияния добавок гидролизата кожи кальмара, порошка антенн креветки на органолептические и структурно-реологические характеристики макаронного теста и готовых изделий — лапши феттучине.
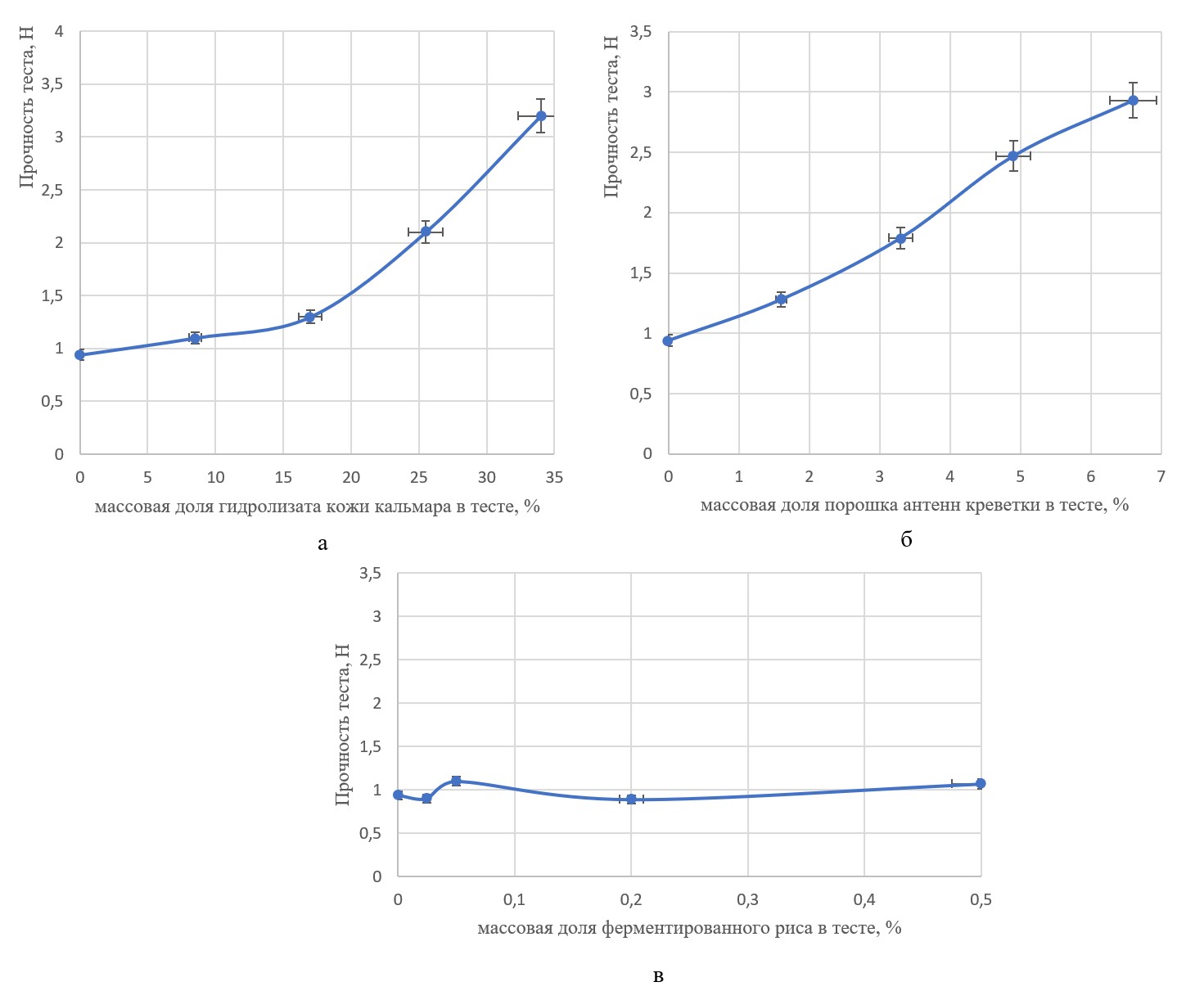
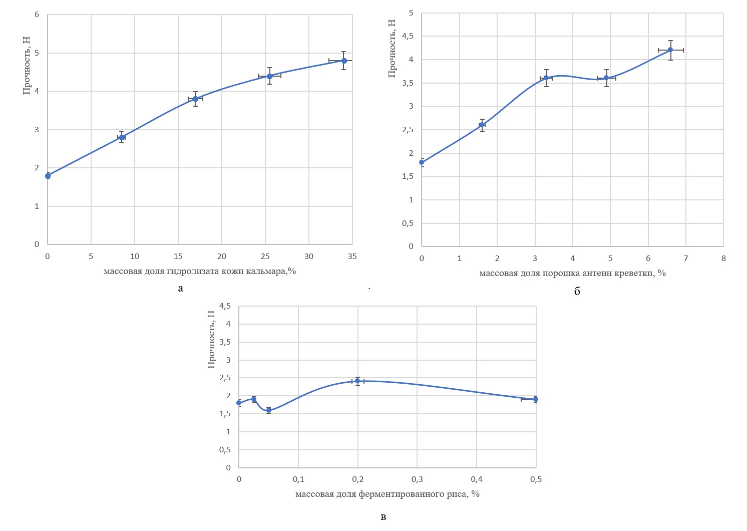
Установлено, что внесение гидролизата кожи кальмара в тесто положительно влияет на его реологические свойства, повышая прочность раскатанного теста и высушенной лапши. Наиболее высокие значения прочности наблюдались при добавлении 34% гидролизата. Это связано с наличием в составе гидролизата низкомолекулярных пептидов и свободных аминокислот, которые улучшают текстуру теста. Также было выявлено, что добавление порошка антенн креветки увеличивает прочностные характеристики за счет содержания в нем хитина — натурального полимера, обладающего структурирующим эффектом. При этом использование ферментированного риса, в соответствии с принятыми дозировками, не оказывало существенного влияния на прочность теста и готовой продукции, однако значительно улучшало цветовые характеристики изделий, придавая им яркий и привлекательный внешний вид.
Органолептическая оценка показала, что образцы с максимальным содержанием гидролизата кожи кальмара (34%) и порошка антенн креветки (3,3%) имеют более выраженный аромат и вкус, характерные для морепродуктов, а также однородную и гладкую поверхность. Добавление ферментированного риса в количестве от 0,025 до 0,05% позволило усилить окраску теста без изменения его текстурных и вкусовых свойств, что делает его эффективным натуральным красителем.
Полученные данные могут быть использованы в практической деятельности предприятий пищевой промышленности, специализирующихся на выпуске макаронных изделий, а также в научных исследованиях по разработке новых технологий переработки вторичных ресурсов рыбопромысловых предприятий.
1. Введение
Макаронные изделия входят в перечень социально-значимых продовольственных товаров первой необходимости. По данным исследований Министерства сельского хозяйства Российской Федерации, в 2024 году их было произведено около 1,5 миллиона тонн . Положительная динамика также наблюдалась и в начале 2025 года: в январе выпущено 120 тысяч тонн, прирост по сравнению с аналогичным периодом прошлого года составил 8,3%. Данная информация доказывает распространенность и общедоступность макаронных изделий в рационе питания населения. Помимо этого, неоспоримым преимуществом является их способность к быстрому приготовлению, а также высокая энергетическая ценность готовых блюд, что существенно влияет на популярность данной группы продуктов среди потребителей.
В современной пищевой промышленности особое внимание уделяется устойчивому развитию и рациональному использованию водных объектов промысла. Одним из перспективных направлений является применение фракций морепродуктов, полученных в результате переработки ракообразных и моллюсков , , , . К компонентам, которые могут улучшить качество и технологические свойства пищевых продуктов, можно отнести такие недоиспользуемые части, как кожа кальмара и антенны креветок, предварительно подвергнутые дополнительной технологической переработке (варке, сушке, ферментированию и др.).
Гидролизат кожи кальмара получают путем ферментативного воздействия комплекса протеаз (например, препарата Энзи-Микс У) , что приводит к расщеплению белков кожи на пептиды и аминокислоты. Порошок антенн креветок, полученный путем сушки и измельчения , содержит хитин и другие биополимеры.
Ряд работ в научно-исследовательской литературе посвящен разработкам рецептур и технологий макаронных изделий с добавлением растительных компонентов, получаемые при переработке овощей и бобовых культур, для обогащения их витаминами и придания изделиям привлекательного внешнего вида , , , . Изучение возможности применения недоиспользуемых частей морепродуктов в производстве макаронного теста является актуальным направлением исследований для создания новых рецептур макаронных изделий.
Целью исследования было изучение показателей качества и структурно-реологических характеристик макаронных изделий с добавлением фракций морепродуктов, полученных в результате переработки ракообразных и моллюсков (гидролизата кальмара и порошка креветки).
2. Методы и принципы исследования
Объектами исследований являлись: мука пшеничная хлебопекарная высшего сорта, кожица Командорского кальмара (лат. Berryteuthis magister), антенны северной креветки (лат. Pandalus borealis), рис ферментированный (порошок красного цвета, получаемый культивированием Monascus purpureus на рисе), препарат Энзи-Микс У (комплекс кислых протеаз, протеолитическая активность которого составляет 120 единиц на грамм, оптимум действия 40°С и рН 6,0). Все используемое сырье, материалы и образцы, полученные в ходе проведения эксперимента, соответствовали требованиям нормативной документации по показателям безопасности (ТР ТС 021/2011, ТР ТС 029/2012, ТР ЕАЭС 040/2016).
На начальном этапе были приготовлены гидролизат кожи кальмара и порошок антенн креветки (рис.1) по ранее предложенным авторами технологическим решениям (рис. 1) , .

Рисунок 1 - Технологические схемы приготовления образцов:
а - гидролизата кожи кальмара; б - порошка антенн креветки
Тесто и готовая к употреблению лапша, изготовленные с применением гидролизата кожи кальмара и порошка антенн креветки, могут при относительно высоких органолептических показателях (аромат, вкус и консистенция), иметь недостаточно высокие для данной готовой продукции цветовые характеристики, которые можно компенсировать за счет применения натуральных пищевых красителей. В качестве пищевого красителя в работе предлагается использование ферментированного риса, дающего яркую цветовую окраску. Для изучения его влияния на органолептические и реологические характеристики теста и высушенной лапши феттучине были приготовлены образцы макаронного теста с растительным компонентом: ферментированным рисом (табл. 1).
В качестве контрольного образца выступало тесто на основе пшеничной муки (К).
Таблица 1 - Рецептуры образцов
Рецептура теста с различной массовой долей внесенных компонентов | Образец | Массовая доля компонентов, % | ||||
Пшеничная мука | Вода | Гидролизат кожи кальмара | Порошок антенн креветки | Ферментированный рис | ||
1. Контрольный образец теста без внесения добавок | К | 66,0 | 34,0 | - | - | - |
2. Тесто с добавлением гидролизата кожи кальмара | № 1.1 | 66,0 | 25,5 | 8,5 | - | - |
№ 1.2 | 17,0 | 17,0 | - | - | ||
№ 1.3 | 8,5 | 25,5 | - | - | ||
№ 1.4 | - | 34,0 | - | - | ||
3. Тесто с добавлением порошка креветки | № 2.1 | 64,4 | 34,0 | - | 1,6 | - |
№ 2.2 | 62,7 | - | 3,3 | - | ||
№ 2.3 | 61,1 | - | 4,9 | - | ||
№ 2.4 | 59,4 | - | 6,6 | - | ||
4.Тесто с добавлением ферментированного риса | № 3.1 | 66,0 | 33,975 | - | - | 0,025 |
№ 3.2 | 33,95 | - | - | 0,05 | ||
№ 3.3 | 33,8 | - | - | 0,2 | ||
№ 3.4 | 33,5 | - | - | 0,5 | ||
Образцы предварительно раскатывались на аппарате (толщина макаронного теста 1,2±0,2мм), далее на специальной насадке для получения лапши феттучине (ширина 6,5 мм) и затем высушивались до полной готовности на дегидраторной сушилке при температуре 60+20С до достижения влажности изделий 10+1%. Внешний вид полученных образцов указан на рис. 2.

Рисунок 2 - Образцы высушенной лапши феттучине
В полученных образцах изучалось влияния массовой доли гидролизата кожи кальмара, порошка антенн креветки и ферментированного риса на органолептические показатели образцов до и после их варки до готовности. Исследовалось общее восприятие и консистенция готового полуфабриката, а также общее восприятие цветовых характеристик поверхности теста, в высушенной и сваренной в воде лапши феттучине. В процессе варки лапши определялись временные показатели перевариваемости образцов.
Исследования проводились в 3–5-ти кратной повторяемости. Математическая обработка результатов осуществлялась с помощью программного обеспечения Texture Loader и Microsoft Office 2016.
3. Основные результаты
На рисунке 3 представлены данные прочности (Н) исследуемых образцов макаронного теста в зависимости от массовой доли вносимых компонентов.

Рисунок 3 - Изменение прочности раскатанного теста в зависимости от массовой доли вносимых компонентов:
а - гидролизат кожи кальмара; б - порошок антенн креветки; в - ферментированный рис
На рисунке 4 представлены данные прочности (Н) образцов высушенной лапши феттучине.

Рисунок 4 - Изменение прочности высушенных образцов лапши феттучине:
а - гидролизат кожи кальмара; б - порошок антенн креветки; в - ферментированный рис
Органолептическая оценка образцов проводилась до и после их варки до готовности (рис. 5). Время варки образцов зависело от вида и массовой доли вносимых компонентов, дегустация проводилась после 6 минут варки через каждые 30 с. (табл. 2).
Таблица 2 - Время варки образцов до готовности в минутах
К | Образцы теста с гидролизатом кожи кальмара | Образцы теста с добавлением порошка креветки | Образцы теста с добавлением ферментированного риса | |||||||||
1.1 | 1.2 | 1.3 | 1.4 | 2.1 | 2.2 | 2.3 | 2.4 | 3.1 | 3.2 | 3.3 | 3.4 | |
8,8+0,1 | 13,6+0,3 | 16,2+0,3 | 18,8+0,4 | 19,7+0,5 | 9,2+0,1 | 11+0,2 | 13,7+0,3 | 14,5+0,3 | 8,9+0,1 | 8,9+0,1 | 8,4+0,1 | 8,3+0,1 |
Из представленных данных видно, что образцы, изготовленные с применением гидролизата кожи кальмара и сушеных антенн креветки, имеют большее время варки при увеличении добавленных в неё компонентов. Добавление в тесто ферментированного риса, в соответствии с рецептурами, представленными в табл.1, не оказывают влияния на время варки образцов.
Образцы высушенного макаронного теста с добавлением гидролизата кальмара с массовой долей 25,5 и 34,0% обладали наилучшими показателями внешнего вида и цвета, имели более гладкую, однородную, «шелковистую» поверхность с приятными цветовыми характеристиками. После варки дегустаторы отмечали также приятный аромат свежесваренного кальмара с легким высокобелковым кальмарным привкусом «умами» (рис. 5). Внесение высушенных антенн креветки дает приятные свойственные данному виду макаронных изделий органолептические характеристики, однако цвет лапши феттучине остается слабо выраженным (рис.2, образцы 2.1-2.4). Поэтому, для большей выразительности и привлекательности рекомендуется добавлять в тесто для изготовления лапши феттучине на основе порошка антенн креветки пищевые красители с характерной «креветочной» окраской, например, ферментированный рис в количестве от 0,025 до 0,05%. Также, в результате проведенной органолептической оценки образцов, изготовленных с добавлением ферментированного риса (до и после варки), было установлено, что используемый компонент улучшает их цветовые характеристики, при этом не оказывает влияние на такие органолептические показатели как внешний вид, текстура, вкус и запах.
На рис. 5 представлены профилограммы органолептической оценки образцов после их варки до готовности.

Рисунок 5 - Изменение органолептической оценки образцов после кулинарной обработки (варки)
4. Заключение
1. Изучено влияние гидролизата кожи кальмара и антенн креветки на органолептические и структурно-реологические характеристики макаронного теста. Показано, что внесение гидролизата кальмара или порошка креветки в тесто улучшает его реологические характеристики.
2. Установлено, что наилучшими органолептическими показателями обладают образцы с максимальным количеством гидролизата кальмара (34,0%), с содержанием порошка антенн креветки равным 3,3%, а также образцы с содержанием ферментированного риса от 0,025 до 0,05% (по показателю цвет).
3. Обосновано время варки образцов до готовности, составившее для образцов теста с содержанием 34,0% гидролизата кожи кальмара 20 минут, 3,3% порошка антенн креветки 15 минут.
